DEQ
Direct SIR model   (to inverse…)
Computes the evolution in differential equations (no fitting).
2026.Jan.14 16:28:23
tf Final time.
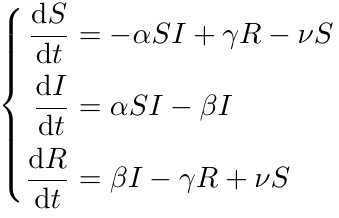
Rates Rates: α, β, γ, ν.
Initial values IVP: S0, I0, R0.
Activation Vaccine activation time (≤ tf).
Solutions at For numerical intermediate solutions (≤ tf).
Method        Method of integration.
Points N. of points in plot (from No. 0)
Show values Show graph coordinates.

Computes the evolution of a SIR model by integrating its ODEs, from given initial values.

Integration is by Python 'scipy' module solver solve_ivp.

Files involved: P-dirSIR.php (this one), DirSIR.php, dirSIR.py.

Draws plots of the integrated functions vs. time.

ODEs

Computation structure — A PHP file (this page: 'P-dirSIR.php') calls (via 'action=...') an intermediate PHP file ('DirSIR.php'), which (through $_POST) sends the problem data as command line arguments to a Python script. This last does the computing, and makes 'system' call(s) to 'gnuplot', for the final (temporary) webpage.

Keywords: PHP, command line arguments, Python script, gnuplot.

References: Plate: DirSIRmodel

• (Wikipedia) PHP (from Personal Home Page)

• Dunn, S. M., 2005, "Numerical Methods in Biomedical Engineering", pp 209–287. Dunn, S. M., et al., 2006, ditto, Elsevier (Academic Press), ISBN: 978-0-12-186031-8, https://doi.org/10.1016/B978-0-12-186031-8.X5000-6.

• Python module 'scipy' solver scipy.integrate.solve_ivp, accessed 02-Oct-2023.

• D'Arienzo, M. and A. Coniglio, 2020, "Assessment of the SARS-CoV-2 basic reproduction number, R0, based on the early phase of COVID-19 outbreak in Italy", Biosafety and Health, 2:2, 57–59. DOI: https://doi.org/10.1016/j.bsheal.2020.03.004.

• Wolfram Research, Inc., Arnoud Buzing, The SIR Model for Spread of Disease, tf = 100, (β, γ) = (0.5 0.0714).

• 1911-10-21: Gardner, Martin (†2010-05-22, 98 yrs.).

 
 
Valid HTML 5! IST http://lisweb.vps.tecnico.ulisboa.pt/lab/imulossvac/P-dirSIR.php
Created: 2024-10-22 — Last modified: 2025-11-03